堆叠柱状图将每个柱子进行分割以显示相同类型下各个数据的大小情况。 它可以形象得展示一个大分类包含的每个小分类的数据,以及各个小分类的占比,显示的是单个项目与整体之间的关系。堆叠柱状图非常适合用来对比不同类别数据的数值大小,同时对比每一类别数据中,子类别的构成及大小。 详见知乎回答什么是堆叠柱状图?堆叠柱状图又有什么作用?本文将主要介绍origin绘制垂直堆叠柱状图的详细操作步骤。
输入数据
按下图所示输入数据

绘图
左键点击绘图,在基础2D图选择堆积柱状图
![]() | ![]() |
美化
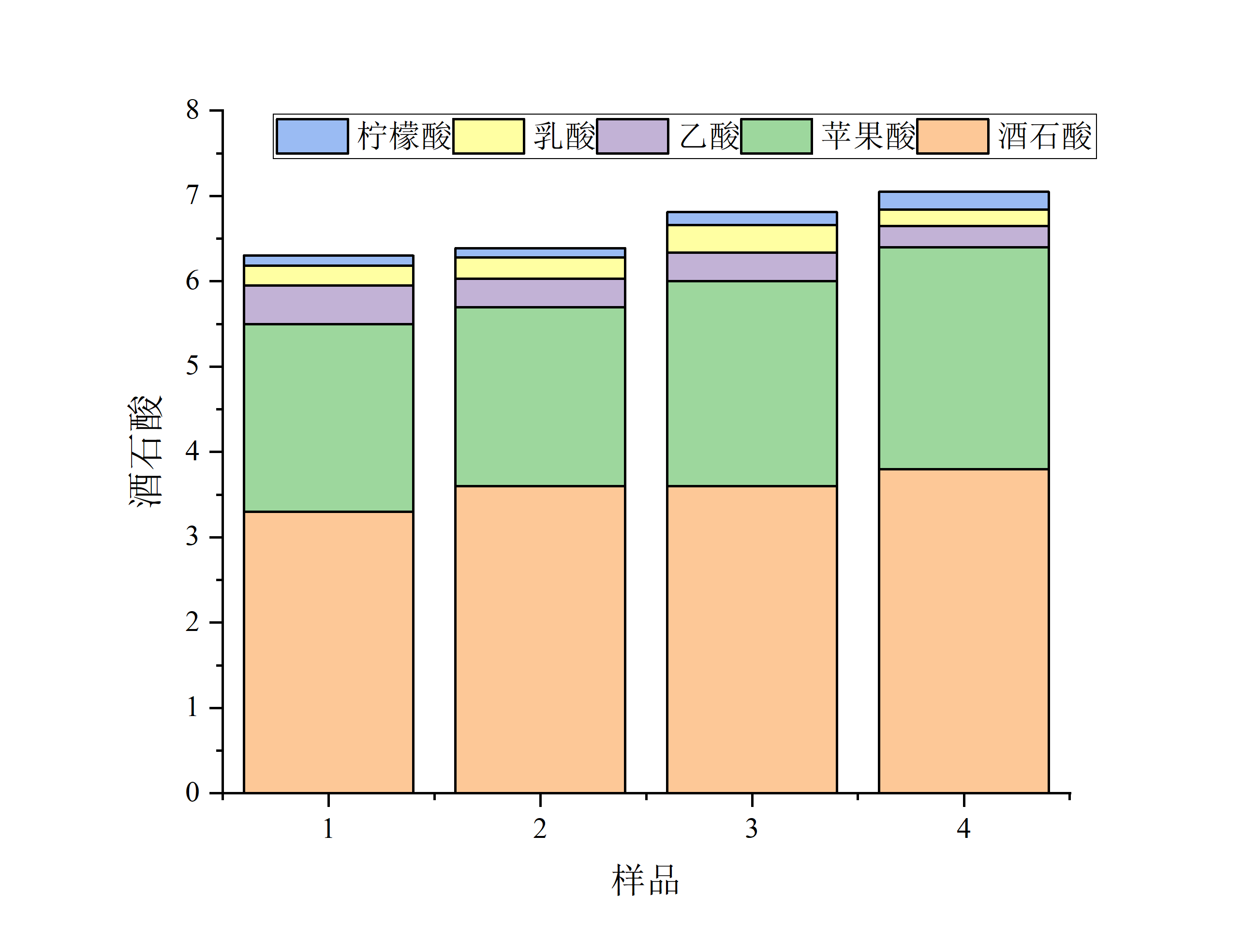
然后对图的坐标轴刻度、图例样式大小、柱子的间距和颜色等等进行美化

其他样式
上图缺少误差棒和显著性标记的字母,想要加上可以向下图1所示输入数据,插入标准差和显著性标记,并更改数据类型。
![]() | ![]() |
![]() | |
然后继续美化图片,调整图例的文字间距、柱子的颜色方案、间距大小、标签的位置和颜色(这里需选择独立编辑模式,可以分组移动、或者按住ctrl、拖拽标签可单独调整位置)。
百分比堆积柱状图操作与上述类似,这里不再赘述了。
![]() | ![]() |
![]() | ![]() |
![]() | ![]() |
![]() | ![]() |
![]() | ![]() |
成果图
![]() | ![]() |
![]() | ![]() |
以上就是全部内容,如有疑问,欢迎大家在评论区交流讨论!
教程制作不易,看完点个赞鼓励下博主吧!


















评论 (0)