箱线图
箱线图是基于数据的最小值、第一四分位数(Q1)、中位数(Q2)、第三四分位数(Q3)和最大值五个关键统计量,直观呈现数据分布特征的统计图,核心作用是快速传递数据集中趋势、离散程度、偏态与异常值信息,还能高效对比多组数据差异。在质量控制与差异比较方面箱线图应用较多,origin也支持多种类型箱线图的绘制,下面开始图文教程,视频教程见Origin软件绘制箱线图。
首先按照图示导入数据
|
然后全选数据,点击绘图,选择统计图中的箱线图即可
![]() |
箱线图的类型比较多,依旧是一样的数据还可以绘制“箱线图+点重叠”、“箱线图+正态曲线”、“半箱线图”等等
![]() | ![]() |
![]() | ![]() |
![]() | |
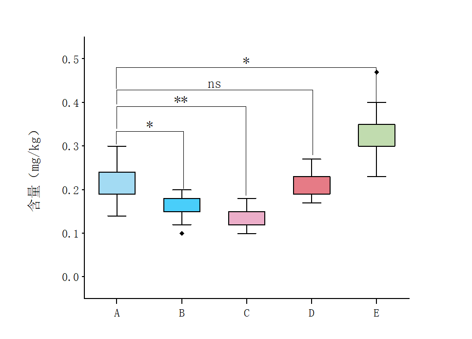
显著性检验的结果“*”或者“字母”可以手动加上,但这个需要你提前做好显著性检验,其余的绘图细节也可以一项项美化调整
![]() | ![]() |
![]() | ![]() |
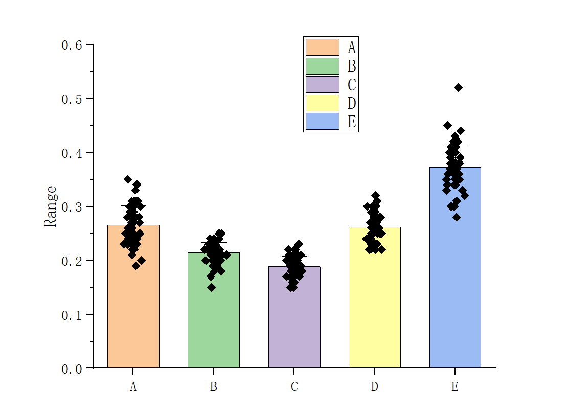
箱线图也能随时转换为条形图,比如“条形图+点重叠”
![]() | ![]() |
![]() | |
如果想进行多项指标的分组比较,那么就选择绘制多因子分组箱线图,按照图示导入数据,然后在绘图选项选择分组图中的”多因子分组箱线图-索引数据“,视频教学见Origin绘制多因子组箱线组图并添加显著性差异。
![]() | ![]() |
![]() | ![]() |
![]() | |
小提琴图
小提琴图是一种结合了箱线图和核密度图特点的数据可视化图表,因其形状酷似小提琴而得名,既能直观呈现数据的集中趋势、离散程度,又能清晰展示数据在各区间的密度分布情况,可高效对比多组数据的分布差异,适合挖掘数据的整体形态与局部聚集特征。
导入数据的格式与箱线图一致,在绘图选项中选择统计图中的小提琴图即可完成图形绘制
![]() | ![]() |
与箱线图类似,小提琴图的类型也比较多,比如“带箱体的小提琴图”,同样支持手动添加显著性标记
![]() | ![]() |
![]() | ![]() |
云雨图
云雨图结合了散点图的原始数据点分布(即雨图)与小提琴图的核密度曲线形态(即云图),既能直观呈现数据的个体离散情况,又能清晰展示数据的整体密度分布特征,可高效对比多组数据的分布差异与个体数据的离散程度。视频教学见Origin将普通的箱线图升级为高大上的云雨图。
导入数据的格式与箱线图还是一致,在绘图选项中选择统计图中的半小提琴图即可
![]() | ![]() |
![]() |
然后点击左上角“图”选择“交换X-Y轴”
![]() |
最后进行绘图细节上的美化,双击图形,在数据一栏中更改“排列点”的类型、分格大小、点阵宽度完成散点的美化,图案一栏可以进行颜色的调整,然后在坐标轴进行刻度的调整美化云图的形状,最后手动添加显著性检验标记完成图形绘制
![]() | ![]() |
![]() | ![]() |
以上就是箱线图、小提琴图、云雨图的Origin绘制教程,如有疑问,欢迎大家在评论区交流讨论!
教程制作不易,看完点个赞鼓励下博主吧!

































评论 (0)